2025MBA報考測評申請中......
說明:您只需填寫姓名和電話即可免費預約!也可以通過撥打熱線免費預約
我們的工作人員會在最短時間內給予您活動安排回復。
導讀:又到了一年一度的考試階段,又有不少同學開始頭疼,對于數學公式計算煞費苦心,絞盡腦汁,今天小編給大家解答幾道關于MBA數學必備公式,希望能夠給考MBA的小伙伴有所幫助。
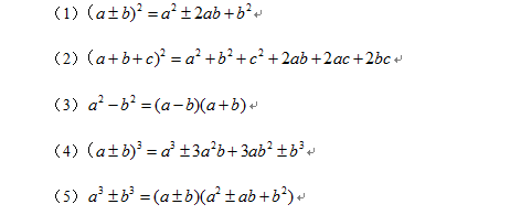
數學公式
一、常用計算公式
1. 乘法公式與因式分解:

























說明:您只需填寫姓名和電話即可免費預約!也可以通過撥打熱線免費預約
我們的工作人員會在最短時間內給予您活動安排回復。
數學公式
一、常用計算公式
1. 乘法公式與因式分解:

























社科賽斯官方微信
社科賽斯官方微博
【版權與免責聲明】 如發現內容存在版權問題,煩請提供相關信息發郵件至service@mbaschool.com.cn,我們將及時溝通與處理。本站內容除非來源注明社科賽斯,否則均為網絡轉載,涉及言論、版權與本站無關。
2025考生福利