2025MBA報考測評申請中......
說明:您只需填寫姓名和電話即可免費預約!也可以通過撥打熱線免費預約
我們的工作人員會在最短時間內給予您活動安排回復。
導讀:上次給大家集合和函數的基礎知識點,這個給大家整理數列的基礎知識。
數列
數列是一種特殊的函數,其定義域為全體或部分自然數。
數列的通項公式 A(N)就是一個函數,求出通項公式,等于求出了數列的任一項。
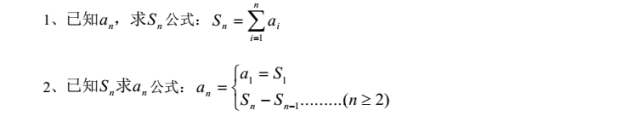
數列的 前 N 項和 S(N)(N=1,2,。。。)構成了一個新的數列,知道 S(N)的公式, 通過 A(1)=S(1),A(N)=S(N)-S(N-1)就能求出原數列的通項公式。
MBA 數學主要考察等差數列和等比數列。有些數列不是等差數列或等比數列,但經過改造后可構造出等差數列或等比數列。
如 A(1)=1, A(N+1)=2A(N)+1。這個數列的每一項都加上 1,就成為等比數列了,通 項公式為 2^N,因此原數列通項公式為:A(N)=2^N-1 其他常見的數列包括 A(N)=N^3, A(N)=N!/(N-K)!, A(N)=1/[N(N-1)]等,都有相應的辦法能處理。
數列相關公式
a與S的關系


等比數列


